火災探測器的設置
6.2.1 探測器的具體設置部位應按本規范附錄 D 采用。
6.2.2 點型火災探測器的設置應符合下列規定:
1 探測區域的每個房間應至少設置一只火災探測器。
2 感煙火災探測器和 A1、A2、B 型感溫火災探測器的保護面積和保護半徑,應按表 6.2.2 確定;C、D、E、F、G 型感溫火災探測器的保護面積和保護半徑,應根據生產企業設計說明書確定,但不應超過表 6.2.2 的規定。
注:建筑高度不超過 14m 的封閉探測空間,且火災初期會產生大量的煙時,可設置點型感煙火災探測器。
3 感煙火災探測器、感溫火災探測器的安裝間距,應根據探測器的保護面積 A 和保護半徑 R 確定,并不應超過本規范附錄 E 探測器安裝間距的極限曲線 D1~D11(含D´9)規定的范圍。
4 一個探測區域內所需設置的探測器數量,不應小于公式(6.2.2)的計算值:

式中:N——探測器數量(只),N 應取整數;
S——該探測區域面積(㎡);
K——修正系數,容納人數超過 10000 人的公共場所宜取 0.7~0.8;容納人數為 2000 人~10000 人的公共場所宜取 0.8~0.9 ,容納人數為 500 人~2000 人的公共場所宜取 0.9~1.0 ,其他場所可取 1.0 ;
A——探測器的保護面積(㎡)。
6.2.3 在有梁的頂棚上設置點型感煙火災探測器、感溫火災探測器時,應符合下列規定:
1 當梁突出頂棚的高度小于 200mm 時,可不計梁對探測器保護面積的影響。
2 當梁突出頂棚的高度為 200mm~600mm 時,應按本規范附錄 F 、附錄 G 確定梁對探測器保護面積的影響和一只探測器能夠保護的梁間區域的數量。
3 當梁突出頂棚的高度超過 600mm 時,被梁隔斷的每個梁間區域應至少設置一只探測器。
4 當被梁隔斷的區域面積超過一只探測器的保護面積時,被隔斷的區域應按本規范第 6.2.2 條第 4 款規定計算探測器的設置數量。
5 當梁間凈距小于 1m 時,可不計梁對探測器保護面積的影響。
6.2.4 在寬度小于 3m 的內走道頂棚上設置點型探測器時,宜居中布置。感溫火災探測器的安裝間距不應超過 10m ; 感煙火災探測器的安裝間距不應超過 15m ;探測器至端墻的距離,不應大于探測器安裝間距的 1/2 。
6.2.5 點型探測器至墻壁、梁邊的水平距離,不應小于 0.5m 。
6.2.6 點型探測器周圍 0.5m 內,不應有遮擋物。
6.2.7 房間被書架、設備或隔斷等分隔,其頂部至頂棚或梁的距離小于房間凈高的 5% 時,每個被隔開的部分應至少安裝一只點型探測器。
6.2.8 點型探測器至空調送風口邊的水平距離不應小于 1.5m ,并宜接近回風口安裝。探測器至多孔送風頂棚孔口的水平距離不應小于 0.5m 。
6.2.9 當屋頂有熱屏障時,點型感煙火災探測器下表面至頂棚或屋頂的距離,應符合表 6.2.9 的規定。
6.2.10 鋸齒形屋頂和坡度大于 15°的人字形屋頂,應在每個屋脊處設置一排點型探測器,探測器下表面至屋頂最高處的距離,應符合本規范第 6.2.9 條的規定。
6.2.11 點型探測器宜水平安裝。當傾斜安裝時,傾斜角不應大于 45°。
6.2.12 在電梯井、升降機井設置點型探測器時,其位置宜在井道上方的機房頂棚上。
6.2.13 一氧化碳火災探測器可設置在氣體能夠擴散到的任何部位。
6.2.14 火焰探測器和圖像型火災探測器的設置,應符合下列規定:
1 應計及探測器的探測視角及最大探測距離,可通過選擇探測距離長、火災報警響應時間短的火焰探測器,提高保護面積要求和報警時間要求。
2 探測器的探測視角內不應存在遮擋物。
3 應避免光源直接照射在探測器的探測窗口。
4 單波段的火焰探測器不應設置在平時有陽光、白熾燈等光源直接或間接照射的場所。
6.2.15 線型光束感煙火災探測器的設置應符合下列規定:
1 探測器的光束軸線至頂棚的垂直距離宜為 0.3m~1.0m ,距地高度不宜超過 20m 。
2 相鄰兩組探測器的水平距離不應大于 14m ,探測器至側墻水平距離不應大于 7m ,且不應小于 0.5m ,探測器的發射器和接收器之間的距離不宜超過 100m 。
3 探測器應設置在固定結構上。
4 探測器的設置應保證其接收端避開日光和人工光源直接照射。
5 選擇反射式探測器時,應保證在反射板與探測器間任何部位進行模擬試驗時,探測器均能正確響應。
6.2.16 線型感溫火災探測器的設置應符合下列規定:
1 探測器在保護電纜、堆垛等類似保護對象時,應采用接觸式布置;在各種皮帶輸送裝置上設置時,宜設置在裝置的過熱點附近。
2 設置在頂棚下方的線型感溫火災探測器,至頂棚的距離宜為 0.1m 。探測器的保護半徑應符合點型感溫火災探測器的保護半徑要求;探測器至墻壁的距離宜為 1m~1.5m 。
3 光柵光纖感溫火災探測器每個光柵的保護面積和保護半徑,應符合點型感溫火災探測器的保護面積和保護半徑要求。
4 設置線型感溫火災探測器的場所有聯動要求時,宜采用兩只不同火災探測器的報警信號組合。
5 與線型感溫火災探測器連接的模塊不宜設置在長期潮濕或溫度變化較大的場所。
6.2.17 管路采樣式吸氣感煙火災探測器的設置,應符合下列規定:
1 非高靈敏型探測器的采樣管網安裝高度不應超過16m ;高靈敏型探測器的采樣管網安裝高度可超過 16m ;采樣管網安裝高度超過 16m 時,靈敏度可調的探測器應設置為高靈敏度,且應減小采樣管長度和采樣孔數量。
2 探測器的每個采樣孔的保護面積、保護半徑,應符合點型感煙火災探測器的保護面積、保護半徑的要求。
3 一個探測單元的采樣管總長不宜超過 200m ,單管長度不宜超過 100m ,同一根采樣管不應穿越防火分區。采樣孔總數不宜超過 100 個,單管上的采樣孔數量不宜超過 25 個。
4 當采樣管道采用毛細管布置方式時,毛細管長度不宜超過 4m 。
5 吸氣管路和采樣孔應有明顯的火災探測器標識。
6 有過梁、空間支架的建筑中,采樣管路應固定在過梁、空間支架上。
7 當采樣管道布置形式為垂直采樣時,每 2℃ 溫差間隔或 3m 間隔(取最小者)應設置一個采樣孔,采樣孔不應背對氣流方向。
8 采樣管網應按經過確認的設計軟件或方法進行設計。
9 探測器的火災報警信號、故障信號等信息應傳給火災報警控制器,涉及消防聯動控制時,探測器的火災報警信號還應傳給消防聯動控制器。
6.2.18 感煙火災探測器在格柵吊頂場所的設置,應符合下列規定:
1 鏤空面積與總面積的比例不大于 15% 時,探測器應設置在吊頂下方。
2 鏤空面積與總面積的比例大于 30% 時,探測器應設置在吊頂上方。
3 鏤空面積與總面積的比例為 15%~30% 時,探測器的設置部位應根據實際試驗結果確定。
4 探測器設置在吊頂上方且火警確認燈無法觀察時,應在吊頂下方設置火警確認燈。
5 地鐵站臺等有活塞風影響的場所,鏤空面積與總面積的比例為 30%~70% 時,探測器宜同時設置在吊頂上方和下方。
6.2.19 本規范未涉及的其他火災探測器的設置應按企業提供的設計手冊或使用說明書進行設置,必要時可通過模擬保護對象火災場景等方式對探測器的設置情況進行驗證。
6.2 火災探測器的設置
6.2.1 本條對探測器的具體設置部位作出相應規定。
6.2.2 本條對點型火災探測器的設置作出了規定。
1 本款規定“探測區域內的每個房間至少應設置一只火災探測器”。這里提到的”每個房間”是指一個探測區域中可相對獨立的房間,包括火車臥鋪車廂的封閉空間等類似場所,即使該房間的面積比一只探測器的保護國積小得多,也應設置一只探測器保護。
2 本款規定的點型火災探測器的保護面積,是在一個特定的實驗條件下,通過 4 種典型的試驗火試驗提供的數據,并參照國外規范制定的,用來作為設計人員確定火災自動報警系統中采用探測器數量的主要依據。
凡按現行國家標準《點型感煙火災探測器》GB 4715 和《點型感溫火災探測器》GB 1716 檢驗合格的產品,其保護面積均符合本規范的規定。
(1)當探測器裝于不同坡度的頂棚時,隨著頂棚坡度的增大,煙霧沿斜頂棚和屋脊聚集,使得安裝在屋脊或頂棚的探測器近煙或感受熱氣流的機會增加。因此,探測器的保護半徑可相應地增大。
(2) 當探測器監視的地面面積 S>80㎡ 時,安裝在其頂棚上的感煙探測器受其他環境條件的影響較小。房間越高,火源和頂棚之間的距離越大,則煙均勻擴散的區域越大,對煙的容量也越大,人員疏散時間就越有保證。因此,隨著房間高度增加,探測器保護的地面面積也增大。
(3) 感煙火災探測器對各種不同類型火災的靈敏度有所不同,但考慮到房間越高煙越稀薄的情況,當房間高度增加時,可將探測器的靈敏度相應地調高。
建筑高度不超過 14m 的封閉探測空間,且火災初期會產生大量的煙時,可設置點型感煙火災探測器,是根據實際試驗結果制定的。
本條第 3 款規定的感煙火災探測器、感溫火災探測器的安裝間距 a、b 是指圖 4 中1#探測器和2#~5#相鄰探測器之間的距離,不是1#探測器與6#~9#探測器之間的距離。

(1)本規范附錄 E 由探測器的保護面積 A 和保護半徑 R 確定探測器的安裝間距 a、b 的極限曲線 D1~D11(含 D9′)是按照下列方程繪制的,這些極限曲線端點 Yi 和 Zi 坐標值(ai、bi),即安裝間距 a、b 在極限曲線端點的一組數值,如表 1 所示。
(2) 極限曲線 Dl~D4 和 D6 適宜于保護面積 A 等于 20、30 和 40㎡ 及其保護半徑 R 等于 3.6、4.4、4.9、5.5、6.3m 的感溫火災探測器;極限曲線 D5 和 D7~D11(含 D9′)適宜于保護面積 A 等于 60、80、100 和 120㎡ 及其保護半徑 R 等于 5.8、6.7、7.2、8.0、9.0 和 9.9m 的感煙火災探測器。
本條第4 款規定了一個探測器區域內所需設置的探測器數量,按本條規定不應小于 N= S/K*A 的計算值。式中給出的修正系數 K ,是根據人員數量確定的,人員數量越大,疏散要求越高,就越需要盡早報警,以便盡早疏散。
為說明本規范表 6.2.2 、附錄 E 、圖 E 及公式(6.2.2) 的工程應用,下面給出一個例子。
例:一個地面面積為 30m×40m 的生產車間,其屋頂坡度為15°,房間高度為 8m ,使用點型感煙火災探測器保護。試問,應設多少只感煙火災探測器?應如何布置這些探測器?
解:① 確定感煙火災探測器的保護面積 A 和保護半徑 R ,查表 6.2.2,得感煙火災探測器保護面積為 A=80㎡ 時,保護半徑 R=6.7m ,
② 計算所需探測器設置數量。選取 K=1.0 ,按公式(6.2.2)有 N =S/K*A=1200/1.0*80=15(只)。
③ 確定探測器的安裝問距 a、b 。
由保護半徑 R ,確定保護直徑 D=2R=2×6.7=13.4(m),由附錄 E 中圖 E 可確定Di=D7,應利用 D7 極限曲線確定a 和 b值。根據現場實際,選取 a=8m(極限曲線兩端點間值),得b=10m ,其布置方式見圖4。
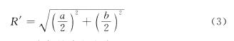
④ 校核按安裝間距 a=8m、b=10m 布置后,探測器到最遠點水平距離 R′是否符合保護半徑要求,按公式(3)計算。

即 R′=6.4m<R=6.7m ,在保護半徑之內。
6.2.3 本條主要規定了頂棚有梁時安裝探測器的原則。由于梁對煙的蔓延會產生阻礙,因而使探測器的保護面積受到梁的影響。如果梁間區域(指高度在 200mm~600mm 之間的梁所包圍的區域)的面積較小,梁對熱氣流(或煙氣流)形成障礙,并吸收一部分熱量,那么探測器的保護面積必然下降。探測器保護面積驗證試驗表明,梁對熱氣流(或煙氣流)的影響還與房間高度有關。
1 當梁突出頂棚的高度小于 200mm 時,在頂棚上設置點型感煙、感溫火災探測器,可不計梁對探測器保護面積的影響。
2 當梁突出頂棚的高度在 200mm~600mm 時,應按附錄 F、附錄 G 確定梁的影響和一只探測器能夠保護的梁間區域的個數。
由附錄 E 可以看出,房間高度在 5m 以上,梁高大于 200mm 時,探測器的保護面積受梁高的影響按房間高度與梁高之間的線
性關系考慮。還可看出,C、D、E、F、G 型感溫火災探測器房高極限值為 4m ,梁高限度為 200mm ;B 型感溫火災探測器房高極限值為 6m ,梁高限度為 225mm ;A1、A2 型感溫火災探測器房高極限值為 8m ,梁高限度為 275mm ;感煙火災探測器房高極限值為 12m ,梁高限度為 375mm。若梁高超過上述限度,即線性曲線右邊部分,均需計梁的影響。
3 當梁突出頂棚的高度超過 600mm 時,被梁隔斷的每個梁間區域應至少設置一只探測器。
4 當被梁隔斷的區域面積超過一只探測器的保護面積時,則應將被隔斷的區域視為一個探測區域,并應按 6.2.2 條第4 款規定計算探測器的設置數量。
5 當梁間凈距小于 1m 時,可視為平頂棚,不計梁對探測器保護面積的影響。
6.2.4 本條規定是參考德國標準制定的。
6.2.5 本條規定是參考德國標準和英國規商制定的。探測器至墻壁、梁邊的水平距離,不應小于 0.5m 是為了保證探測器可靠探測。
6.2.6 本條規定是為了保證探視測器可靠探測。
6.2.7 本條提到的這些場所的煙霧擴散特征與獨立房間內煙霧擴散特征基本相同。
6.2.8 在設有空調的房間內,探測器不應安裝在靠近空調送風口處。這是因為氣流影響燃燒粒子擴散,使探測器不能有效探測。此外,通過電離室的氣流在某種程度上改變電離電流,可能導致離子感煙火災探測器誤報。
6.2.9 當屋頂有熱屏障時,點型感煙火災探測器下表面至頂棚或屋頂的距離,應符合表 6.2.9 的規定。由于屋頂受輻射熱作用或因其他因素影響,在頂棚附近可能產生空氣滯留層,從而形成熱屏障。火災時,該熱屏障將在煙霧和氣流通向探測器的道路上形成障礙作用,影響探測器探測煙霧。同樣,帶有金屬屋頂的倉庫,夏天屋頂下邊的空氣可能被加熱而形成熱屏障,使得煙在熱屏障下邊不能到達頂部,而冬天降溫作用也會妨礙煙的擴散。這些都將影響探測器的有效探測,而這些影響通常還與頂棚或屋頂形狀以及安裝高度有關。為此,需按表 6.2.9 規定的感煙火災探測器下表面至頂棚或屋頂的必要距離安裝探測器,以減少上述影響。
在人字形屋頂和鋸齒形屋頂情況下,熱屏障的作用特別明顯。圖 5 給出探測器在不同形狀頂棚或屋頂下,其下表面至頂棚或屋頂的距離 d 的示意圖。
感溫火災探測器通常受這種熱屏障的影響較小,所以感溫探測器總是直接安裝在頂棚上(吸頂安裝)。
6.2.10 在房屋為人字形屋頂的情況下,如果屋頂坡度大于 15°在屋脊(房屋最高部位)的垂直面安裝一排探測器有利于煙的探測,因為房屋各處的煙易于集中在屋脊處。在鋸齒形屋頂的情況下,按探測器下表面至屋頂或頂棚的距離 d(見第 6.2.9 條)在每個鋸齒形屋頂上安裝一排探測則器。這是因為,在坡度大于 15°的鋸齒形屋頂情況下,屋頂有幾米高,煙不容易從一個屋頂擴散到另一個屋頂,所以對于這種鋸齒形廠房,應按分隔間處理。
6.2.11 探測器在頂棚上宜水平安裝。當傾斜安裝時,傾斜角 θ 不應大于 45°。當傾斜角 θ 大于 45°時,應加木臺安裝探測器。如圖 6 所示。
6.2.12 本條規定有利于探測器探測井道中發生的火災,且便于平時檢修工作進行。
6.2.13 一氧化碳密度與空氣密度相當,在空氣中自由擴散,故本條作此規定。
6.2.15 本條根據我國工程實踐經驗制定。
1 一般情況下,當頂棚高度不大于 5m 時,探測器的紅外光束軸線至頂棚的垂直距離為 0.3m ;當頂棚高度為 10m~20m 時,光束軸線至頂棚的垂直距離口為 1.0m 。
2 相鄰兩組線型光束感煙火災探測器的水平距離不應大于 14m 。探測器至側墻水平距離不應大于 7m 且不應小于 0.5m 。超過規定距離探測煙的效果很差。探測器的發射器和接收器之間的距離不宜超過 100m ,是為了保證探測器靈敏度,也是為了防止建筑位移使探測器產生誤報,見圖7。
4 探測器的工作原理決定了日光和人工光源對接收端的直接照射會影響探測器的正常運行甚至導致探擁器的誤報警。
5 工程實踐表明如果反射式探測器的靈敏度或報警設定值設置不合理,在探測器接收端快速出現高濃度煙霧粒子的擴散,可能導致探測器不報火警,而直接作出遮擋故障的判斷,從而造成探測器的漏報。因此,在實際工程中發射端和接收端均應進行模擬試驗,對探測器的響應進行驗證。
6.2.16 本條主要參考國外相關規范,并依據我國工程實踐和實體試驗結果制定。
1 電纜、堆垛等保護對象火災的發生通常經歷溫度升高→蓄熱(受熱)產生可燃氣體→產生煙氣→產生明火的過程,這些場所火災早期探測的關鍵是在于溫度的升高階段。線性感溫火災探測器在電纜橋架或支架上設置時,應采用接觸式敷設方式,即敷設于被保護電纜(表層電纜)外護套上面,如圖 8 所示,圖中固定卡具宜選用阻燃塑料卡具。
4 一般情況,當設置線型感溫火災探測器的場所有聯動要求時,即該場所要求實現自動報警、自動滅火時,應采用同類型或者不同類型探測器的組合,所以建議采用雙回路組合探測。在電纜隧道內,在電纜隧道頂部設置的線型感溫火災探測器的報警信號和該區域內電氣火災監控探測器報警信號的組合,可作為自動滅火設施啟動的聯動觸發信號;在電纜層上表面設置的線型感溫火災探測器的報警信號,大多是由于探測器監測到其保護的動力電纜因發生電氣故障造成溫度異常所發出的報警信號,這種報警信號作為一種預警信號,警示管理人員快速查找電氣故障原因,不宜作為聯動觸發信號。
5 長期潮濕的環境對模塊內的電子元器件的影響比較大,從而降低模塊的性能,導致報警不準確;溫度變化較大時可能造成誤報。因此連接模塊不宜設置在此類場所。
6.2.17 本條主要參考澳大利亞及英國等國規范和我國自己進行的有關試驗結果制定。
1 非高靈敏型吸氣式感煙火災探測靈敏度較低,其采樣管網安裝高度不應超過 16m 。
2 由于吸氣式感煙火災探測器的一個采樣孔相當于一個點型感煙火災探測器,所以每個采樣孔的保護面積、保護半徑應符合點型感煙火災探測器的保護面積、保護半徑的要求。
3 為了便于查找火源,同-根采樣管不應穿越防火分區;另外,采樣管的材質沒有燃燒性能要求,如果穿越防火分區會導致火災通過采樣管擴散。
采樣孔的靈敏度基本可以按探測器標稱的最小靈敏度乘以實際采樣孔數量計算。例如一臺探測器標稱的最小靈敏度為 0.005% obs/m ,采樣管網上開了 100 個采樣孔,單一采樣孔的靈敏度就近似為 0.5% obs/m 。另外-臺的探測器標稱的最小靈敏度為 0.02 obs/m ,采樣管網上開了 20 個采樣孔,單一采樣孔的靈敏度就近似為 0.4% obs/m 。
從上面的數據可以看出,采樣孔越多,相對于每個采樣孔的靈敏度就會越低。所以為了保證系統的可靠性和靈敏度,采樣管及采樣孔特性應與產品檢驗報告上描述的一致,過多開孔或增加采樣管長度將導致每個采樣孔的實際靈敏度低于一個常規點型感煙火災探測器的靈敏度。
4 當采樣管采用毛細管布置方式時.毛細管長度不能過長,否則將影響毛細采樣孔的進氣量,從而影響系統的探測性能。
5 為便于維護和管理,吸氣管路和采樣孔應有明顯的火災探測器標識。
6 本款規定是為了保證采樣管的有效固定。
7 由于屋頂熱屏障等因素的影響,從屋頂至下的空間形成梯度變化的溫度場,溫度的變化與空間高度密切相關,而煙霧粒子的上升高度又與上升高度的溫度變化密切相關。因此根據相關試驗結果并參考國外規范制定本款。
8 通常情況下,采樣孔孔徑在 2mm~5mm 之間,各企業的產品特性不同,可以參照產品使用說明書和檢驗報告設計。必要時,可以采用廠商提供的模擬計算軟件來計算出采樣孔的孔徑大小。
9 通常探測器均安裝在現場,因此要求探測器的火災報警信號、故障信號等信息應傳給火災報警控制器。探測報警型的管路采樣式吸氣式感煙火災探測器設置在沒有火災報警控制器的場所時,如果有聯動需求,可以直接把火災報警信號傳給消防聯動控制器。但在設置了火災報警控制器的場所,應把火災報警信號傳給火災報警控制器。
6.2.18 本條規定是根據實際試驗結果確定的。
6.2.19 本條規定了本規范未涉及的其他火災探測器的設置要求。 智淼君安(江蘇)消防工程技術有限公司http://m.rd06mj.cn/
海灣消防安全有限公司主營:GST海灣消防報警設備銷售,消防工程施工改造,氣體滅火、電氣/漏電火災、消防水系統施工安裝,售后維修保養,檢測,調試,海灣消防網站:http://m.rd06mj.cn/;海灣消防服務熱線:4006-598-119
6.2.2 點型火災探測器的設置應符合下列規定:
1 探測區域的每個房間應至少設置一只火災探測器。
2 感煙火災探測器和 A1、A2、B 型感溫火災探測器的保護面積和保護半徑,應按表 6.2.2 確定;C、D、E、F、G 型感溫火災探測器的保護面積和保護半徑,應根據生產企業設計說明書確定,但不應超過表 6.2.2 的規定。

3 感煙火災探測器、感溫火災探測器的安裝間距,應根據探測器的保護面積 A 和保護半徑 R 確定,并不應超過本規范附錄 E 探測器安裝間距的極限曲線 D1~D11(含D´9)規定的范圍。
4 一個探測區域內所需設置的探測器數量,不應小于公式(6.2.2)的計算值:

S——該探測區域面積(㎡);
K——修正系數,容納人數超過 10000 人的公共場所宜取 0.7~0.8;容納人數為 2000 人~10000 人的公共場所宜取 0.8~0.9 ,容納人數為 500 人~2000 人的公共場所宜取 0.9~1.0 ,其他場所可取 1.0 ;
A——探測器的保護面積(㎡)。
6.2.3 在有梁的頂棚上設置點型感煙火災探測器、感溫火災探測器時,應符合下列規定:
1 當梁突出頂棚的高度小于 200mm 時,可不計梁對探測器保護面積的影響。
2 當梁突出頂棚的高度為 200mm~600mm 時,應按本規范附錄 F 、附錄 G 確定梁對探測器保護面積的影響和一只探測器能夠保護的梁間區域的數量。
3 當梁突出頂棚的高度超過 600mm 時,被梁隔斷的每個梁間區域應至少設置一只探測器。
4 當被梁隔斷的區域面積超過一只探測器的保護面積時,被隔斷的區域應按本規范第 6.2.2 條第 4 款規定計算探測器的設置數量。
5 當梁間凈距小于 1m 時,可不計梁對探測器保護面積的影響。
6.2.4 在寬度小于 3m 的內走道頂棚上設置點型探測器時,宜居中布置。感溫火災探測器的安裝間距不應超過 10m ; 感煙火災探測器的安裝間距不應超過 15m ;探測器至端墻的距離,不應大于探測器安裝間距的 1/2 。
6.2.5 點型探測器至墻壁、梁邊的水平距離,不應小于 0.5m 。
6.2.6 點型探測器周圍 0.5m 內,不應有遮擋物。
6.2.7 房間被書架、設備或隔斷等分隔,其頂部至頂棚或梁的距離小于房間凈高的 5% 時,每個被隔開的部分應至少安裝一只點型探測器。
6.2.8 點型探測器至空調送風口邊的水平距離不應小于 1.5m ,并宜接近回風口安裝。探測器至多孔送風頂棚孔口的水平距離不應小于 0.5m 。
6.2.9 當屋頂有熱屏障時,點型感煙火災探測器下表面至頂棚或屋頂的距離,應符合表 6.2.9 的規定。

6.2.11 點型探測器宜水平安裝。當傾斜安裝時,傾斜角不應大于 45°。
6.2.12 在電梯井、升降機井設置點型探測器時,其位置宜在井道上方的機房頂棚上。
6.2.13 一氧化碳火災探測器可設置在氣體能夠擴散到的任何部位。
6.2.14 火焰探測器和圖像型火災探測器的設置,應符合下列規定:
1 應計及探測器的探測視角及最大探測距離,可通過選擇探測距離長、火災報警響應時間短的火焰探測器,提高保護面積要求和報警時間要求。
2 探測器的探測視角內不應存在遮擋物。
3 應避免光源直接照射在探測器的探測窗口。
4 單波段的火焰探測器不應設置在平時有陽光、白熾燈等光源直接或間接照射的場所。
6.2.15 線型光束感煙火災探測器的設置應符合下列規定:
1 探測器的光束軸線至頂棚的垂直距離宜為 0.3m~1.0m ,距地高度不宜超過 20m 。
2 相鄰兩組探測器的水平距離不應大于 14m ,探測器至側墻水平距離不應大于 7m ,且不應小于 0.5m ,探測器的發射器和接收器之間的距離不宜超過 100m 。
3 探測器應設置在固定結構上。
4 探測器的設置應保證其接收端避開日光和人工光源直接照射。
5 選擇反射式探測器時,應保證在反射板與探測器間任何部位進行模擬試驗時,探測器均能正確響應。
6.2.16 線型感溫火災探測器的設置應符合下列規定:
1 探測器在保護電纜、堆垛等類似保護對象時,應采用接觸式布置;在各種皮帶輸送裝置上設置時,宜設置在裝置的過熱點附近。
2 設置在頂棚下方的線型感溫火災探測器,至頂棚的距離宜為 0.1m 。探測器的保護半徑應符合點型感溫火災探測器的保護半徑要求;探測器至墻壁的距離宜為 1m~1.5m 。
3 光柵光纖感溫火災探測器每個光柵的保護面積和保護半徑,應符合點型感溫火災探測器的保護面積和保護半徑要求。
4 設置線型感溫火災探測器的場所有聯動要求時,宜采用兩只不同火災探測器的報警信號組合。
5 與線型感溫火災探測器連接的模塊不宜設置在長期潮濕或溫度變化較大的場所。
6.2.17 管路采樣式吸氣感煙火災探測器的設置,應符合下列規定:
1 非高靈敏型探測器的采樣管網安裝高度不應超過16m ;高靈敏型探測器的采樣管網安裝高度可超過 16m ;采樣管網安裝高度超過 16m 時,靈敏度可調的探測器應設置為高靈敏度,且應減小采樣管長度和采樣孔數量。
2 探測器的每個采樣孔的保護面積、保護半徑,應符合點型感煙火災探測器的保護面積、保護半徑的要求。
3 一個探測單元的采樣管總長不宜超過 200m ,單管長度不宜超過 100m ,同一根采樣管不應穿越防火分區。采樣孔總數不宜超過 100 個,單管上的采樣孔數量不宜超過 25 個。
4 當采樣管道采用毛細管布置方式時,毛細管長度不宜超過 4m 。
5 吸氣管路和采樣孔應有明顯的火災探測器標識。
6 有過梁、空間支架的建筑中,采樣管路應固定在過梁、空間支架上。
7 當采樣管道布置形式為垂直采樣時,每 2℃ 溫差間隔或 3m 間隔(取最小者)應設置一個采樣孔,采樣孔不應背對氣流方向。
8 采樣管網應按經過確認的設計軟件或方法進行設計。
9 探測器的火災報警信號、故障信號等信息應傳給火災報警控制器,涉及消防聯動控制時,探測器的火災報警信號還應傳給消防聯動控制器。
6.2.18 感煙火災探測器在格柵吊頂場所的設置,應符合下列規定:
1 鏤空面積與總面積的比例不大于 15% 時,探測器應設置在吊頂下方。
2 鏤空面積與總面積的比例大于 30% 時,探測器應設置在吊頂上方。
3 鏤空面積與總面積的比例為 15%~30% 時,探測器的設置部位應根據實際試驗結果確定。
4 探測器設置在吊頂上方且火警確認燈無法觀察時,應在吊頂下方設置火警確認燈。
5 地鐵站臺等有活塞風影響的場所,鏤空面積與總面積的比例為 30%~70% 時,探測器宜同時設置在吊頂上方和下方。
6.2.19 本規范未涉及的其他火災探測器的設置應按企業提供的設計手冊或使用說明書進行設置,必要時可通過模擬保護對象火災場景等方式對探測器的設置情況進行驗證。
條文說明
6.2 火災探測器的設置
6.2.1 本條對探測器的具體設置部位作出相應規定。
6.2.2 本條對點型火災探測器的設置作出了規定。
1 本款規定“探測區域內的每個房間至少應設置一只火災探測器”。這里提到的”每個房間”是指一個探測區域中可相對獨立的房間,包括火車臥鋪車廂的封閉空間等類似場所,即使該房間的面積比一只探測器的保護國積小得多,也應設置一只探測器保護。
2 本款規定的點型火災探測器的保護面積,是在一個特定的實驗條件下,通過 4 種典型的試驗火試驗提供的數據,并參照國外規范制定的,用來作為設計人員確定火災自動報警系統中采用探測器數量的主要依據。
凡按現行國家標準《點型感煙火災探測器》GB 4715 和《點型感溫火災探測器》GB 1716 檢驗合格的產品,其保護面積均符合本規范的規定。
(1)當探測器裝于不同坡度的頂棚時,隨著頂棚坡度的增大,煙霧沿斜頂棚和屋脊聚集,使得安裝在屋脊或頂棚的探測器近煙或感受熱氣流的機會增加。因此,探測器的保護半徑可相應地增大。
(2) 當探測器監視的地面面積 S>80㎡ 時,安裝在其頂棚上的感煙探測器受其他環境條件的影響較小。房間越高,火源和頂棚之間的距離越大,則煙均勻擴散的區域越大,對煙的容量也越大,人員疏散時間就越有保證。因此,隨著房間高度增加,探測器保護的地面面積也增大。
(3) 感煙火災探測器對各種不同類型火災的靈敏度有所不同,但考慮到房間越高煙越稀薄的情況,當房間高度增加時,可將探測器的靈敏度相應地調高。
建筑高度不超過 14m 的封閉探測空間,且火災初期會產生大量的煙時,可設置點型感煙火災探測器,是根據實際試驗結果制定的。
本條第 3 款規定的感煙火災探測器、感溫火災探測器的安裝間距 a、b 是指圖 4 中1#探測器和2#~5#相鄰探測器之間的距離,不是1#探測器與6#~9#探測器之間的距離。



(2) 極限曲線 Dl~D4 和 D6 適宜于保護面積 A 等于 20、30 和 40㎡ 及其保護半徑 R 等于 3.6、4.4、4.9、5.5、6.3m 的感溫火災探測器;極限曲線 D5 和 D7~D11(含 D9′)適宜于保護面積 A 等于 60、80、100 和 120㎡ 及其保護半徑 R 等于 5.8、6.7、7.2、8.0、9.0 和 9.9m 的感煙火災探測器。
本條第4 款規定了一個探測器區域內所需設置的探測器數量,按本條規定不應小于 N= S/K*A 的計算值。式中給出的修正系數 K ,是根據人員數量確定的,人員數量越大,疏散要求越高,就越需要盡早報警,以便盡早疏散。
為說明本規范表 6.2.2 、附錄 E 、圖 E 及公式(6.2.2) 的工程應用,下面給出一個例子。
例:一個地面面積為 30m×40m 的生產車間,其屋頂坡度為15°,房間高度為 8m ,使用點型感煙火災探測器保護。試問,應設多少只感煙火災探測器?應如何布置這些探測器?
解:① 確定感煙火災探測器的保護面積 A 和保護半徑 R ,查表 6.2.2,得感煙火災探測器保護面積為 A=80㎡ 時,保護半徑 R=6.7m ,
② 計算所需探測器設置數量。選取 K=1.0 ,按公式(6.2.2)有 N =S/K*A=1200/1.0*80=15(只)。
③ 確定探測器的安裝問距 a、b 。
由保護半徑 R ,確定保護直徑 D=2R=2×6.7=13.4(m),由附錄 E 中圖 E 可確定Di=D7,應利用 D7 極限曲線確定a 和 b值。根據現場實際,選取 a=8m(極限曲線兩端點間值),得b=10m ,其布置方式見圖4。
④ 校核按安裝間距 a=8m、b=10m 布置后,探測器到最遠點水平距離 R′是否符合保護半徑要求,按公式(3)計算。

6.2.3 本條主要規定了頂棚有梁時安裝探測器的原則。由于梁對煙的蔓延會產生阻礙,因而使探測器的保護面積受到梁的影響。如果梁間區域(指高度在 200mm~600mm 之間的梁所包圍的區域)的面積較小,梁對熱氣流(或煙氣流)形成障礙,并吸收一部分熱量,那么探測器的保護面積必然下降。探測器保護面積驗證試驗表明,梁對熱氣流(或煙氣流)的影響還與房間高度有關。
1 當梁突出頂棚的高度小于 200mm 時,在頂棚上設置點型感煙、感溫火災探測器,可不計梁對探測器保護面積的影響。
2 當梁突出頂棚的高度在 200mm~600mm 時,應按附錄 F、附錄 G 確定梁的影響和一只探測器能夠保護的梁間區域的個數。
由附錄 E 可以看出,房間高度在 5m 以上,梁高大于 200mm 時,探測器的保護面積受梁高的影響按房間高度與梁高之間的線
性關系考慮。還可看出,C、D、E、F、G 型感溫火災探測器房高極限值為 4m ,梁高限度為 200mm ;B 型感溫火災探測器房高極限值為 6m ,梁高限度為 225mm ;A1、A2 型感溫火災探測器房高極限值為 8m ,梁高限度為 275mm ;感煙火災探測器房高極限值為 12m ,梁高限度為 375mm。若梁高超過上述限度,即線性曲線右邊部分,均需計梁的影響。
3 當梁突出頂棚的高度超過 600mm 時,被梁隔斷的每個梁間區域應至少設置一只探測器。
4 當被梁隔斷的區域面積超過一只探測器的保護面積時,則應將被隔斷的區域視為一個探測區域,并應按 6.2.2 條第4 款規定計算探測器的設置數量。
5 當梁間凈距小于 1m 時,可視為平頂棚,不計梁對探測器保護面積的影響。
6.2.4 本條規定是參考德國標準制定的。
6.2.5 本條規定是參考德國標準和英國規商制定的。探測器至墻壁、梁邊的水平距離,不應小于 0.5m 是為了保證探測器可靠探測。
6.2.6 本條規定是為了保證探視測器可靠探測。
6.2.7 本條提到的這些場所的煙霧擴散特征與獨立房間內煙霧擴散特征基本相同。
6.2.8 在設有空調的房間內,探測器不應安裝在靠近空調送風口處。這是因為氣流影響燃燒粒子擴散,使探測器不能有效探測。此外,通過電離室的氣流在某種程度上改變電離電流,可能導致離子感煙火災探測器誤報。
6.2.9 當屋頂有熱屏障時,點型感煙火災探測器下表面至頂棚或屋頂的距離,應符合表 6.2.9 的規定。由于屋頂受輻射熱作用或因其他因素影響,在頂棚附近可能產生空氣滯留層,從而形成熱屏障。火災時,該熱屏障將在煙霧和氣流通向探測器的道路上形成障礙作用,影響探測器探測煙霧。同樣,帶有金屬屋頂的倉庫,夏天屋頂下邊的空氣可能被加熱而形成熱屏障,使得煙在熱屏障下邊不能到達頂部,而冬天降溫作用也會妨礙煙的擴散。這些都將影響探測器的有效探測,而這些影響通常還與頂棚或屋頂形狀以及安裝高度有關。為此,需按表 6.2.9 規定的感煙火災探測器下表面至頂棚或屋頂的必要距離安裝探測器,以減少上述影響。
在人字形屋頂和鋸齒形屋頂情況下,熱屏障的作用特別明顯。圖 5 給出探測器在不同形狀頂棚或屋頂下,其下表面至頂棚或屋頂的距離 d 的示意圖。

6.2.10 在房屋為人字形屋頂的情況下,如果屋頂坡度大于 15°在屋脊(房屋最高部位)的垂直面安裝一排探測器有利于煙的探測,因為房屋各處的煙易于集中在屋脊處。在鋸齒形屋頂的情況下,按探測器下表面至屋頂或頂棚的距離 d(見第 6.2.9 條)在每個鋸齒形屋頂上安裝一排探測則器。這是因為,在坡度大于 15°的鋸齒形屋頂情況下,屋頂有幾米高,煙不容易從一個屋頂擴散到另一個屋頂,所以對于這種鋸齒形廠房,應按分隔間處理。
6.2.11 探測器在頂棚上宜水平安裝。當傾斜安裝時,傾斜角 θ 不應大于 45°。當傾斜角 θ 大于 45°時,應加木臺安裝探測器。如圖 6 所示。
6.2.12 本條規定有利于探測器探測井道中發生的火災,且便于平時檢修工作進行。
6.2.13 一氧化碳密度與空氣密度相當,在空氣中自由擴散,故本條作此規定。

θ——屋頂的法線與垂直方向的交角
6.2.14 本條主要是對火焰探測器和圖像型火災探測器的設置進行了規定,這些規定是由探測器的特征決定的。6.2.15 本條根據我國工程實踐經驗制定。
1 一般情況下,當頂棚高度不大于 5m 時,探測器的紅外光束軸線至頂棚的垂直距離為 0.3m ;當頂棚高度為 10m~20m 時,光束軸線至頂棚的垂直距離口為 1.0m 。
2 相鄰兩組線型光束感煙火災探測器的水平距離不應大于 14m 。探測器至側墻水平距離不應大于 7m 且不應小于 0.5m 。超過規定距離探測煙的效果很差。探測器的發射器和接收器之間的距離不宜超過 100m ,是為了保證探測器靈敏度,也是為了防止建筑位移使探測器產生誤報,見圖7。

1——發射器;2——墻壁;3——接收器
3 探測器位置的變化將直接影響探測器的正常運行及探測,因此探測器應安裝在固定的結構上,同時應考慮鋼結構等建筑結構位移對探測器運行的影響。4 探測器的工作原理決定了日光和人工光源對接收端的直接照射會影響探測器的正常運行甚至導致探擁器的誤報警。
5 工程實踐表明如果反射式探測器的靈敏度或報警設定值設置不合理,在探測器接收端快速出現高濃度煙霧粒子的擴散,可能導致探測器不報火警,而直接作出遮擋故障的判斷,從而造成探測器的漏報。因此,在實際工程中發射端和接收端均應進行模擬試驗,對探測器的響應進行驗證。
6.2.16 本條主要參考國外相關規范,并依據我國工程實踐和實體試驗結果制定。
1 電纜、堆垛等保護對象火災的發生通常經歷溫度升高→蓄熱(受熱)產生可燃氣體→產生煙氣→產生明火的過程,這些場所火災早期探測的關鍵是在于溫度的升高階段。線性感溫火災探測器在電纜橋架或支架上設置時,應采用接觸式敷設方式,即敷設于被保護電纜(表層電纜)外護套上面,如圖 8 所示,圖中固定卡具宜選用阻燃塑料卡具。

1——動力電纜;2——探測器熱敏電纜;3——電纜橋架;4——固定卡具
在各種皮帶輸送裝置上設置時,在不影響平時運行和維護的情況下,應根據現場情況而定,宜將探測器設置在裝置的過熱點附近,如圖9 所示。
1——傳送帶;2——探測器終端;3 、5——探測器熱敏電纜;4——拉線螺旋;6——電纜支撐架
2 線型感溫火災探測器在頂棚下方的設置是參考日本規范制定的,如圖10 所示。
1——探測器;2——墻壁;3——固定點;4——頂棚
3 由于光柵光纖感溫火災探測器的每個光柵相當于-個型感溫火災探測器,因此其保護半徑和保護面積的要求應符合點型感溫火災探測器的相關規定。4 一般情況,當設置線型感溫火災探測器的場所有聯動要求時,即該場所要求實現自動報警、自動滅火時,應采用同類型或者不同類型探測器的組合,所以建議采用雙回路組合探測。在電纜隧道內,在電纜隧道頂部設置的線型感溫火災探測器的報警信號和該區域內電氣火災監控探測器報警信號的組合,可作為自動滅火設施啟動的聯動觸發信號;在電纜層上表面設置的線型感溫火災探測器的報警信號,大多是由于探測器監測到其保護的動力電纜因發生電氣故障造成溫度異常所發出的報警信號,這種報警信號作為一種預警信號,警示管理人員快速查找電氣故障原因,不宜作為聯動觸發信號。
5 長期潮濕的環境對模塊內的電子元器件的影響比較大,從而降低模塊的性能,導致報警不準確;溫度變化較大時可能造成誤報。因此連接模塊不宜設置在此類場所。
6.2.17 本條主要參考澳大利亞及英國等國規范和我國自己進行的有關試驗結果制定。
1 非高靈敏型吸氣式感煙火災探測靈敏度較低,其采樣管網安裝高度不應超過 16m 。
2 由于吸氣式感煙火災探測器的一個采樣孔相當于一個點型感煙火災探測器,所以每個采樣孔的保護面積、保護半徑應符合點型感煙火災探測器的保護面積、保護半徑的要求。
3 為了便于查找火源,同-根采樣管不應穿越防火分區;另外,采樣管的材質沒有燃燒性能要求,如果穿越防火分區會導致火災通過采樣管擴散。
采樣孔的靈敏度基本可以按探測器標稱的最小靈敏度乘以實際采樣孔數量計算。例如一臺探測器標稱的最小靈敏度為 0.005% obs/m ,采樣管網上開了 100 個采樣孔,單一采樣孔的靈敏度就近似為 0.5% obs/m 。另外-臺的探測器標稱的最小靈敏度為 0.02 obs/m ,采樣管網上開了 20 個采樣孔,單一采樣孔的靈敏度就近似為 0.4% obs/m 。
從上面的數據可以看出,采樣孔越多,相對于每個采樣孔的靈敏度就會越低。所以為了保證系統的可靠性和靈敏度,采樣管及采樣孔特性應與產品檢驗報告上描述的一致,過多開孔或增加采樣管長度將導致每個采樣孔的實際靈敏度低于一個常規點型感煙火災探測器的靈敏度。
4 當采樣管采用毛細管布置方式時.毛細管長度不能過長,否則將影響毛細采樣孔的進氣量,從而影響系統的探測性能。
5 為便于維護和管理,吸氣管路和采樣孔應有明顯的火災探測器標識。
6 本款規定是為了保證采樣管的有效固定。
7 由于屋頂熱屏障等因素的影響,從屋頂至下的空間形成梯度變化的溫度場,溫度的變化與空間高度密切相關,而煙霧粒子的上升高度又與上升高度的溫度變化密切相關。因此根據相關試驗結果并參考國外規范制定本款。
8 通常情況下,采樣孔孔徑在 2mm~5mm 之間,各企業的產品特性不同,可以參照產品使用說明書和檢驗報告設計。必要時,可以采用廠商提供的模擬計算軟件來計算出采樣孔的孔徑大小。
9 通常探測器均安裝在現場,因此要求探測器的火災報警信號、故障信號等信息應傳給火災報警控制器。探測報警型的管路采樣式吸氣式感煙火災探測器設置在沒有火災報警控制器的場所時,如果有聯動需求,可以直接把火災報警信號傳給消防聯動控制器。但在設置了火災報警控制器的場所,應把火災報警信號傳給火災報警控制器。
6.2.18 本條規定是根據實際試驗結果確定的。
6.2.19 本條規定了本規范未涉及的其他火災探測器的設置要求。 智淼君安(江蘇)消防工程技術有限公司http://m.rd06mj.cn/
海灣消防安全有限公司主營:GST海灣消防報警設備銷售,消防工程施工改造,氣體滅火、電氣/漏電火災、消防水系統施工安裝,售后維修保養,檢測,調試,海灣消防網站:http://m.rd06mj.cn/;海灣消防服務熱線:4006-598-119
本頁關鍵詞:
上一篇:火災報警控制器和消防聯動控制器的設置 下一篇:手動火災報警按鈕的設置
技術資料更多 >>


蘇公網安備32058102002148號